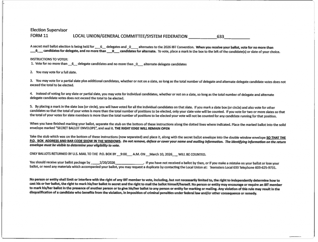
Notice Regarding the Election flatrock February 12, 2026 News Post navigation Previous Previous post: Teamsters Local 633 Business Agent and Political Coordinator Rick Laughton recently testified in support of House Bill 1537Next Next post: LEACH LIBRARY MEMBERS VOTE TO JOIN LOCAL 633